I.    EFECTO DE LA PRECIPITACIÓN PLUVIAL EN LAS FECHAS DE SEIMBRA DEL MAÍZ[1]


Román Gordón-Mendoza[2]; Jorge I. Núñez-Cano[3]; Ana E. Sáez-Cigarruista[4]; Jorge E. Franco-Barrera[5]; Francisco P. Ramos-Manzané[6]

 

RESUMEN

Se realizó un estudio con el objetivo de determinar el efecto de las fechas de siembra del cultivo de maíz en la Región de Azuero. Se sembró un ensayo en la Estación Experimental El Ejido, provincia de Los Santos, Panamá. Se estableció entre los años 2015 al 2024. La unidad experimental fue de seis surcos de 5,2 m de largo y la parcela efectiva consistió en los dos surcos centrales. El diseño fue el de Bloques completos al azar con tres repeticiones. Se evaluaron tres factores en un arreglo Factorial en Fajas dobles 3 x 3 x 2. La parcela principal fue la fecha de siembra (agosto, septiembre y octubre), las sub-parcelas el sistema de secano y riego suplementario por goteo y las sub-sub-parcelas dos híbridos de uso por los productores de la Región. El análisis estadístico presentó diferencias altamente significativas para el rendimiento de grano y otras características agronómicas para los efectos principales, así como para la interacción Fecha x Sistema y la interacción doble del año con los tres factores. El rendimiento promedio varió a través de los años siendo 2015 el más bajo (5,43 t.ha-1) y 2017 el de mayor rendimiento (6,80 t.ha-1). La producción de granos difirió significativamente a través de las fechas de siembra; la misma se redujo a medida que se sembró más tarde. La diferencia entre secano y riego fue de más de 0,70 t.ha-1 favoreciendo a las parcelas con riego suplementario. Esta diferencia varió en función a la precipitación pluvial registrada en cada año. Se concluye que la variación de la precipitación a través de los años puede aumentar o reducir el impacto que tienen las fechas de siembra en el rendimiento de grano. El estrés hídrico en la fase de floración y llenado del grano tuvo un mayor impacto en el rendimiento de grano.

 

Palabras clave: Estrés hídrico, humedad de suelo, riego suplementario, secano.

 

I.  EFFECT OF RAINFALL ON MAIZE PLANTING DATES

 

ABSTRACT

A study was conducted to determine the effect of planting dates on maize production in the Azuero Region of Panama. The experiment was established at the El Ejido Experimental Station in Los Santos Province and conducted from 2015 to 2024. Each experimental unit consisted of six rows, each measuring 5.2 m, with the two central rows serving as the effective plot. A randomized complete block design with three replications was used. Three factors were evaluated in a 3 × 3 × 2 split–split plot factorial arrangement. The main plot was planting date (August, September, and October); the subplot consisted of two water-management systems (rainfed and supplemental drip irrigation); and the sub-subplot included two commercial hybrids commonly used by producers in the region. Statistical analysis revealed highly significant differences in grain yield and other agronomic traits for the main effects, the Date × System interaction, and the three-way interactions involving year. Average grain yield varied across years, with 2015 showing the lowest production (5.43 t ha¹) and 2017 the highest (6.80 t ha¹). Grain yield decreased progressively with later planting dates. The difference between rainfed and irrigated conditions exceeded 0.70 t ha¹, favoring supplemental irrigation. This difference varied according to annual rainfall patterns, being greater in drier years and smaller when rainfall exceeded 500 mm between August and December. Differences between hybrids were observed only for grain yield and ear weight, with the hybrid considered more tolerant showing higher values for both traits (109 g and 6.58 t ha¹, respectively). Overall, results indicate that interannual precipitation variability can amplify or attenuate the impact of planting dates on grain yield. Water stress during flowering and grain filling had the most substantial adverse effect on yield.

 

Keywords: water stress, soil moisture, supplemental irrigation, rainfed conditions.

 

INTRODUCCIÓN

El agua es el factor más limitante en el rendimiento de grano como del forraje de maíz en muchas regiones del mundo según la Organización de las Naciones Unidas para la Agricultura y la Alimentación (FAO, 1993). El efecto del agua sobre la producción de maíz en las zonas tropicales es determinante; ya que su carencia durante la etapa de crecimiento puede marchitar las plantas jóvenes y reducir la densidad de población. El principal efecto de la sequía en el período vegetativo es reducir el crecimiento de las hojas, de modo que el cultivo capta menos radiación solar. El agua es tomada del suelo y distribuida a través de la planta; parte es usada por la planta y el resto vuelve a la atmósfera en forma de vapor (evapotranspiración). Sin embargo, la tasa de pérdida del agua depende de varios factores entre los que están: temperatura y humedad ambiental, radiación solar, viento y área foliar del cultivo (Rhoads & Yonts, 2000; Kranz et al., 2008).

 

De acuerdo con diversos estudios, el umbral mínimo de precipitación mediante el cual puede esperarse cosecha de grano en el cultivo de maíz es de 150 mm de agua. Solo una fracción de la materia seca producida forma el grano, lo que significa que un cultivo con buena disponibilidad de agua usa alrededor de 800 a 1 000 gramos de agua por cada gramo de grano producido (Lafitte, 2001). Lafitte (2001) y Steduto et al. (2012), señalan que el cultivo de maíz requiere para un normal crecimiento de 500 a 800 mm de lluvia bien distribuida. Otros estudios señalan que, a lo largo del desarrollo de la planta de maíz, el consumo de agua varía; al inicio la demanda por el agua es baja, pero a medida que pasa el tiempo la misma se incrementa, para reducir su consumo nuevamente al final del cultivo (Kranz et al., 2008).

 

El conocimiento de las características fenológicas del cultivo establece el marco temporal que forma el rendimiento y sus componentes. En las etapas de germinación, iniciación floral, floración y madurez fisiológica se delinean respectivamente la fase vegetativa, reproductiva y de llenado de grano (Bolaños & Edmeades, 1993). En la fase reproductiva se determina la formación de la mazorca y, por tanto, el número de mazorcas por planta y el número de granos por mazorca. La etapa más crítica en el cultivo de maíz va de la floración masculina a la segunda etapa de la fase reproductiva conocida como R2 (Fase lechosa). En esta fase se puede perder por estrés hídrico hasta un 50% del potencial del rendimiento. En la fase de llenado del grano, la cual comprende de la etapa R2 a la etapa R5, se constituye en la otra fase en donde la planta de maíz se ve afectada grandemente por cualquier estrés hídrico que sufra (McWilliams et al., 1999; Shaw & Newman, 1985). En estas etapas una sequía continua por un período prolongado de días puede resultar en un 100% de reducción del rendimiento.

 

El impacto del calentamiento global podría causar significativas disminuciones en el rendimiento de maíz y otros cultivos en los próximos años (Ruane et al., 2013). La distribución de lluvias en la región de Azuero, según el análisis realizado por Gordón-Mendoza (2020) indica que las mismas se inician al final del mes de abril, luego la misma va incrementado en los meses subsiguientes, con una ligera disminución en septiembre y un decrecimiento a partir de octubre. El mes de diciembre presenta una baja precipitación (61 mm), la cual se registra generalmente en los primeros 15 días del mes. Los resultados de este estudio indican que en los meses en que se lleva a cabo la actividad de producción del cultivo de maíz (agosto a diciembre), la precipitación pluvial difiere entre las localidades del norte de la región con acumulados bajos (menores de 750 mm) que los reportados en las localidades del sur. El objetivo de esta investigación fue el de determinar el efecto de las fechas de siembra del cultivo de maíz en la Región de Azuero.

 

MATERIALES Y MÉTODOS

El estudio se desarrolló en la Finca Experimental de El Ejido, Los Santos. Localizada entre los 7°54’ de latitud Norte y 80°22’ longitud Oeste, a unos 25 msnm. El ensayo fue sembrado a partir del año 2015 por 10 años hasta el año 2024. La unidad experimental fue de seis surcos de 5,2 m de largo, con una distancia entre surcos de 0,75 m y 0,20 m entre plantas. El manejo agronómico en cuanto a control de maleza y fertilización se realizó según la tecnología generada por el Instituto de Innovación Agropecuaria de Panamá (IDIAP) (Gordón-Mendoza, 2021).

 

El diseño utilizado fue el de Bloques completos al azar con tres repeticiones. Se evaluaron tres factores en un arreglo Factorial en Fajas dobles 3 x 3 x 2. La parcela principal fue la fecha de siembra (diferentes etapas de estrés). Las fechas de siembras evaluadas se establecieron a partir del mes de agosto de cada año. La primera se realizó en la segunda quincena de agosto (estrés en fase establecimiento), la segunda entre el 15 al 20 de septiembre (estrés en fase vegetativa) y la tercera realizada en los primeros 10 día de octubre (estrés en fase llenado de grano). La subparcela fue el sistema de siembra (Riego suplementario y Sin Riego), para estimar el efecto en el rendimiento causado por el estrés hídrico en cada fecha de siembra. Se utilizó un sistema de riego por goteo (parcela sin estrés hídrico) y secano (parcela con estrés natural). La Sub-Sub-Parcela fue el tercer factor, conformado por dos híbridos. Un híbrido fue seleccionado como tolerante a estrés hídrico El otro híbrido fue un genotipo susceptible al estrés hídrico. Ambos cultivares fueron seleccionados de los ensayos de la Prueba Regional realizados anteriormente en la Región, ambos híbridos son de la casa Pioneer.

 

Se utilizó el siguiente modelo matemático:

 

Yijkl=    µ + Año + rep + Año*rep + Fec + Fec*rep + Año*Fec + Año*Fec*rep + Sis + Sis*rep + Año*Sis + Año*Sis*rep + Fec*Sis + Fec*Sis*rep + Año*Fec*Sis + Año*Fec*Sis*rep + Hib + Hib*rep + Año*Hib + Año*Hib*rep + Fec*Hib + Fec*Hib*rep + Año*Fec*Hib + Año*Fec*Hib*rep + Sis*Hib + Sis*Hib*rep + Año*Sis*Hib + Año*Sis*Hib*rep + Fec*Sis*Hib + Fec*Sis*Hib*rep + Año*Fec*Sis*Hib + Año*Fec*Sis*Hib*rep

 

en donde:       

Yijkl: =Valor del carácter estudiado; µ= Media general; rep= Repetición; Fec = Fecha de siembra; Sis= Sistema de siembra; Hib= Híbrido

 

La humedad del suelo fue calculada en intervalos de 7 días, para esto se tomó una muestra de suelo a una profundidad de 30 cm en cada unidad experimental. Para la determinación del porcentaje de humedad se utilizó el método gravimétrico, por medio de la toma de muestra y secada en un horno por 24 horas. El cálculo de la humedad se realizó restando el peso seco al peso húmedo. Se obtuvieron datos climatológicos como la precipitación pluvial, temperatura, humedad relativa, radiación solar y otros de una estación meteorológica portátil Davis® ubicada en la Estación Experimental El Ejido. Se estimó la densidad aparente del suelo a través de muestreo con volumen conocido, densidad real por medio de picnómetro y la velocidad de infiltración por medio de doble anillos concéntricos (Kostiakov, 1932).

 

Se midieron las variables más comunes en el cultivo como lo son: altura de la planta y mazorca, rendimiento de grano, biomasa total, número de plantas y mazorcas cosechadas. Se realizaron muestreos para la determinación de biomasa, además del conteo de número de hojas.

 

RESULTADOS Y DISCUSIÓN

Características del suelo

El suelo es franco con bajo porcentaje de materia orgánica y pH ácido (Cuadro 1). Presenta bajo contenido de fósforo, aluminio, hierro y zinc; alto contenido de calcio, magnesio y manganeso. Se considera medio en potasio y cobre. En general es un suelo de mediana fertilidad. El cultivo de maíz se desarrolla bajo diferentes condiciones de suelo. Según Yzarra et al. (2010) la mayor dificultad para el desarrollo del cultivo se encuentra en los suelos excesivamente pesados (arcillosos) y los muy sueltos (arenosos). Los primeros por su facilidad a inundarse y los segundos por la tendencia a secarse excesivamente. El maíz se puede cultivar con buenos resultados en suelos que presenten pH de 5,5 a 8, aunque el óptimo corresponde a una ligera acidez (pH entre 6 y 7).

 

 

Se describen los resultados obtenidos en las diferentes profundidades muestreadas, en el Cuadro 1. Se encontró una estructura de bloques angulares y subangulares en las cinco profundidades descritas en la calicata. Presenta una consistencia muy plástica en suelo mojado con la presencia de muchas raíces finas de 0 a 16 cm y poca o muy pocas raíces de tamaño muy fina de 16 a 130 cm, no se presentaron raíces por debajo de esta profundidad. Las medidas de compactación a través del uso del penetrómetro indican que los primeros dos estratos (0 a 46 cm) son los más compactados (>630 kg/cm2) y a la medida que se profundiza los valores van disminuyendo.

 

La velocidad de infiltración (I) también llamada infiltración básica de este suelo fue de 29,40 mm/hr y tiende a hacerse constante en el tiempo (Figura 1). Lo indica que el pasaje el agua en el suelo entra en régimen. Este dato es muy importante para establecer los periodos de riego según el sistema de riego utilizado y el tipo de suelo.

 

 

Análisis de la precipitación pluvial

Precipitación pluvial

La respuesta del rendimiento del maíz a la fecha de siembra puede variar en diferentes años (Irwin et al., 2015; Akinnuoye-Adelabu & Modi, 2017). Los patrones de lluvia y otras condiciones climáticas asociadas con las diferentes fechas de siembra modifican la duración del ciclo vegetativo y el desarrollo del cultivo (Beiragi et al., 2011). La precipitación pluvial acumulada en las distintas fases de desarrollo a través de los años fue muy variada. Los menores registros se realizaron en los años 2015 y 2018, mientras que los más altos se dieron en el año 2024 y 2022. Con relación a la precipitación acumulada por fechas de siembra se observa que en la mayoría de los años la lluvia acumulada en las siembras de agosto es mayor que las siembras de septiembre (490 vs 434 mm). Esta diferencia en algunos años es muy leve por menos de 75 mm; sin embargo, en los años 2017 y 2023 el registro acumulado en septiembre fue mayor que el de las siembras de agosto. Por el contrario, los registros de las siembras en octubre a través de todos los años son mucho más baja (promedio de 355 mm) que las otras dos (Cuadro 2).

 

 

Con respecto a las distintas etapas en promedio en los primeros 30 días del cultivo en las siembras de octubre el registro en promedio (189 mm) fue mayor que en agosto (93 mm) y septiembre (138 mm). Por otra parte, la lluvia acumulada ente los 31 y 50 dds (etapa prefloración) en promedio fue mayor en las siembras de septiembre y octubre (138 y 123 mm). Los valores más bajos en la fase de 51 a 90 dds y 81 a 100 se registraron en la siembra de 2015 (menos de 60 mm), mientras que los más altos se registraron en el año 2024. Los valores de estos registros para estas dos primeras fases son considerados superiores a los mínimos requeridos por el cultivo para su desarrollo normal. La etapa de 51 a 80 dds o etapa de floración y llenado de granos es considerada por varios autores como la más crítica para el desarrollo del rendimiento de grano. En esta etapa en promedio la siembra de agosto recibe más lluvia que la siembra de septiembre (195 vs 151 mm). Esta relación se dio en la mayoría de los años con excepción del 2017 y 2023 en donde los registros de septiembre superaron a los acumulados en agosto. En la etapa de 81 a 100 dds los registros de agosto superan por 114 mm a los de septiembre y por 108 mm en promedio a los de octubre. Después de la floración (51 a 100 dds) las siembras de octubre registran menos de 45 mm en total lo que es insuficiente para el desarrollo normal del rendimiento. Se encontró una alta relación entre la precipitación acumulada entre la tercera y cuarta etapa (51 a 100 dds) y el rendimiento de grano en las parcelas sin riego suplementario. El coeficiente de correlación lineal de Pearson fue de 0,74 para el acumulado (Figura 2A). Por el contrario, los coeficientes de correlación para el acumulado en la tercera (51 a 80 dds) y cuarta fase (81 a 100 dds) con el rendimiento de grano en estas etapas fueron más bajos (0,59 y 0,35, respectivamente).

 

 

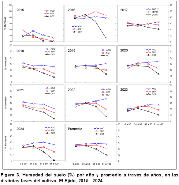
Humedad del suelo

La humedad del suelo está relacionada con la precipitación pluvial y la etapa del cultivo al momento de realizar el muestreo. Al realizar las correlaciones se observó que hubo relación entre estas dos variables. En la fase inicial o de 0 a 30 dds el valor del coeficiente correlación lineal fue de 0,13 y para la fase de prefloración (31 a 50 dds) el mismo fue de 0,27. Esta relación fue mucho más alta en las siguientes dos etapas y la mismas tuvieron una relación cuadrática. En la etapa de llenado y desarrollo del grano (51 a 80 dds) se obtuvo un coeficiente de regresión de 0.51 y el mismo aumentó en la etapa de 81 a 100 dds a 0,70. En el análisis de cómo se comportaron estos coeficientes, se observa que a medida que crece el cultivo y el mismo va cubriendo toda la superficie del suelo la relación entre lluvia y humedad del suelo aumenta, ya que la pérdida por evaporación disminuye. Esto favorece al cultivo en donde tiene más agua en la zona de raíces, lo cual se ve reflejado en el rendimiento de grano. Al realizar la correlación entre la humedad del suelo con el rendimiento de grano, se encontró que el valor del coeficiente más alto se dio con la humedad del suelo entre 81 a 100 dds (r = 0,71), luego le siguió la relación con la humedad promedio entre los 51 a 100 dds (r = 0,67) (Figura 2B).

 

Así como la variación de la lluvia fue alta a través de los años, esta se ve reflejada en la acumulación de agua en los primeros 15 cm de profundidad del suelo. Los registros más bajos de humedad se dieron en el año 2015 y los más altos en el 2016. En la Figura 3 se observa como las siembras realizadas en agosto se mantienen con el mismo valor durante las cuatro fases del cultivo en la mayoría de los años y la misma supera al registro acumulado en las otras dos fechas de siembra. Sólo en el año 2021 se observa una reducción en la etapa final del cultivo (81 a 100 dds). Por otro lado, la humedad acumulada en las siembras de septiembre siempre fue inferior a la de agosto excepto el año 2016. En la mayoría de los años el registro en las primeras tres fases es casi el mismo o la diferencia es mínima. En la cuarta fase o etapa es donde se observa mayor diferencia, siendo mucho más baja en las siembras de septiembre. Los registros de las siembras en octubre son muy similares en las primeras dos etapas, pero la misma disminuye drásticamente tanto en la fase de llenado de grano como en la fase final del cultivo. Estas dos últimas etapas son las más críticas y es donde la demanda por el agua es mayor para el cultivo. Esto se verá reflejado posteriormente en el llenado de grano.

 

 

Análisis estadístico

El análisis estadístico presentó diferencias altamente significativas para el rendimiento de grano y otras características agronómicas para los efectos principales (año, fecha de siembra, sistema e híbridos) así como para la interacción Fecha x Sistema, la interacción doble del año con los tres factores, dos interacciones triples y una cuádruple en donde todas involucraron el año (Cuadro 3). Las otras interacciones no presentaron diferencias significativas para ninguna de las variables medidas.

 

 

Años

El rendimiento promedio varió a través de los años siendo dos de los más bajos en 2015 y 2019 (5,43 y 5,71 t.ha-1), coincidiendo con años de baja precipitación pluvial entre los meses de agosto a diciembre (177 y 298 mm). Por el contrario, los dos años con el mayor rendimiento general fueron 2017 y 2021 (6,80 y 6,77 t.ha-1) los cuales presentaron una buena distribución de las lluvias a través del desarrollo del cultivo. La producción de biomasa seca también varió a través de los años siendo el año 2015 el de menor producción total (12,34 t.ha-1), la cual presentó un bajo rendimiento de grano, así como biomasa total (16,63 t.ha-1) baja prolificidad (0,90 mazorcas/planta) y bajo peso de mazorcas (90 g) y baja población de plantas (5,97 plantas.m-2) y la altura de plantas (211 cm) (Cuadro 4). Denmead & Shaw (1960) y Traore et al. (2000), indican que el estrés hídrico tiene un efecto en la reducción de los rendimientos de la biomasa y grano de maíz. Estos hallazgos han sido confirmados por investigaciones más recientes, como la de Sah et al. (2020), quienes reportan que el déficit hídrico puede reducir el rendimiento entre un 30 % y 90 %, dependiendo de la severidad del estrés. Asimismo, Jing et al. (2023) documentan reducciones de biomasa de hasta un 61 % bajo condiciones de estrés hídrico prolongado. Shao et al. (2024) y Cui et al. (2024) destacan la importancia de una adecuada distribución de lluvias durante el ciclo del cultivo para evitar pérdidas significativas.

 

 

Fechas de siembra

La producción de granos difirió significativamente a través de las fechas de siembra; la misma se redujo a medida que se sembró más tarde. Se puede observar como las siembras en el mes de agosto alcanzaron el mayor rendimiento (7,80 t.ha-1), seguidas por las siembras de septiembre (7,52 t.ha-1) y octubre (3,35 t.ha-1). Las diferencias entre las siembras de agosto y septiembre en todas las otras variables son bajas, ya que ambas tienen valores muy similares en precipitación pluvial y porcentaje de humedad del suelo en las etapas de prefloración y de llenado de grano. Akinnuoye & Modi (2017) encontraron que, con el aumento de la variabilidad climática, existe un alto riesgo de que el maíz sembrado tardíamente tenga un rendimiento menor, independientemente de su fecha de siembra, y no alcance la madurez fisiológica. Las siembras de octubre se reducen en más del 50% con respecto a las otras dos fechas de siembra. Esta reducción se debe a la falta de lluvia o baja humedad en la zona radicular a partir de los 51 dds. Este rango corresponde a la suma de los dos últimos períodos (51-80 y 81-100 dds) y en la cual se puede reducir hasta un 75% del potencial del rendimiento del cultivo de maíz (McWilliams et al., 1999). Traore et al. (2000), sin embargo, encontraron que el índice de cosecha se vio afectado por el déficit hídrico solo cuando se impuso estrés durante la antesis. Sáez et al. (2023) encontró que las etapas de prefloración y floración fueron las más sensibles al déficit hídrico. Este efecto ha sido estudiado y se ha demostrado que está estrechamente relacionado con las épocas de siembra (Lauer et al., 1999; Norwood, 2001).

 

En octubre se reduce el tamaño de la mazorca (61 g), baja el número la prolificidad (0,88 mazorcas/planta), plantas al momento de la cosecha (6,11 plantas.m-2). Durante el llenado de granos, el principal efecto de la sequía es reducir el tamaño de éstos (Lafitte, 1994; Hall et al., 1982). NeSmith & Ritchie (1992) atribuyeron la pérdida de rendimiento por estrés hídrico durante la pre-antesis a una reducción en el número de granos bien desarrollados.

 

Las fechas de siembra además del rendimiento afectaron el desarrollo de la biomasa a través de los días. Se encontró que el desarrollo fue similar para las tres fechas en los primeros 40 dds. A partir de esta fecha se observó como el desarrollo de biomasa de las siembras de agosto y septiembre son muy similares entre sí hasta la cosecha. El desarrollo de la biomasa de las siembras de octubre es superado por las otras dos siembras y se puede observar cómo esta diferencia va aumentando a partir de los 40 dds (Figura 4A). La reducción de la biomasa del cultivo explica la reducción del rendimiento de grano obtenido en las fechas de siembra de octubre. La reducción de la biomasa en las siembras de octubre es mayor en las parcelas en secano que en las de riego, pero ambas son mucho más bajas que las presentadas en ambos sistemas de las siembras de agosto y septiembre (Figura 4B). Esto coincide con lo documentado por Wu et al. (2024); Djaman et al. (2022), quienes evidencian que la siembra tardía reduce la acumulación de biomasa y afecta la eficiencia en el uso del agua, especialmente en condiciones de secano.

 

 

Sistemas de Siembra

La diferencia entre secano y riego suplementario a través de todos los años fue de más de 0,70 t.ha-1 favoreciendo a las parcelas con riego. Esta diferencia varió en función a la precipitación pluvial registrada en cada año. La misma fue mayor en los años con menos lluvia y disminuyó cuando los registros de lluvia superaron los 500 mm entre agosto y diciembre. También se encontró diferencias a favor de las parcelas con riego en la producción de biomasa seca plantas cosechadas, altura de plantas y peso de las mazorcas. La cantidad de mazorcas por plantas no difirió entre los dos sistemas.

 

Cultivares

La diferencia entre los dos híbridos solo se presentó en el rendimiento de grano y el peso de las mazorcas, siendo más alto el peso de mazorcas como el rendimiento en el híbrido considerado tolerante (109 g y 6,58 t.ha-1). Cada cultivar tiene una fecha óptima de siembra y cualquier desviación de esta puede afectar negativamente el rendimiento (Sárvári & Futó, 2001). El resto de las variables fueron muy similares entre ambos híbridos evaluados (Cuadro 4). Según Darby & Lauer (2002) los cultivares de maíz responden de manera diferente a las fechas de siembra.

 

Interacción Año x Fecha x Sistema

En promedio a través de los años el cultivo con riego suplementario tuvo un mayor rendimiento de grano que las parcelas en secano. Esta diferencia varió a través de las fechas de siembra siendo mayor la diferencia en las siembras de octubre (1,60 t.ha-1), seguida por las siembras en septiembre (1,51 t.ha-1) y agosto (0,77 t.ha-1). En promedio las siembras de agosto a septiembre mantienen el rendimiento de grano similar en las dos fechas de siembra, pero con más potencial de rendimiento en las siembras de agosto. En ambos sistemas (riego y secano) el rendimiento se reduce de manera drástica, pero siendo superior el rendimiento en las parcelas con riego (Figura 3). Esto se puede explicar por la baja precipitación pluvial al momento de la floración y llenado de grano en las siembras de octubre. El rendimiento del grano puede reducirse disminuyendo los componentes del rendimiento, tales como tamaño de la mazorca, número de granos por mazorca o peso del grano. En la floración (unas dos semanas antes de la emisión de estigmas hasta dos semanas después de éstas) el maíz es muy sensible al estrés hídrico y si el agua escasea durante este período, el rendimiento de grano puede ser seriamente afectado. Claassen & Shaw (1970) observaron que el estrés antes o durante el barbeo y la polinización resultó en un número reducido de granos, mientras que el estrés durante o después del barbeo redujo el peso del grano.

 

Esta tendencia general cambió a través de los años, así podemos observar que la diferencia entre riego suplementario y secano en las siembras de agosto solo se observa en los años 2015, 2022 y 2023. En el resto de los años no hubo diferencias o la misma fue mínima. Caso contrario ocurrió con las siembras de septiembre en donde la mayoría presentaron diferencias entre los dos sistemas, con excepción de los años 2016, 2017 y 2023, en donde el rendimiento con riego fue similar en ambos sistemas. En las siembras de octubre con excepción de los años 2019, 2020 y 2022 en donde no hay diferencia entre riego y secano, en el resto la diferencia fue mayor entre ambos sistemas para las distintas fechas de siembra (Figura 5).

 

La reducción del rendimiento tanto en riego como en secano en las siembras de octubre no se puede explicar solo con el análisis de las lluvias y la humedad del suelo. En la zona donde se realizó la investigación las otras variables climáticas son otra limitante que afecta el cultivo, sobre todo las siembras de octubre que, por la duración del ciclo del cultivo, la floración y el llenado de grano se inicia en el mes de diciembre, en donde tanto la precipitación pluvial es reducida la mayoría de los años y las condiciones de humedad relativa, temperatura y déficit de presión de vapor (VPD) se incrementan y condicionan a la planta. En la literatura la polinización se ve afectada por varios factores ambientales asociados a la sequía y las altas temperaturas (Aylor, 2004; Schoper et al., 1986; Herrero & Johnson, 1980) y la baja humedad relativa del ambiente (Aylor, 2003). Fonseca & Westgate (2005) indican que el Déficit de Presión de Vapor (VPD) es otra variable a considerar en la pérdida de viabilidad del polen. Estos efectos también han sido confirmados recientemente por Wu et al. (2024) quienes reportan que VPD elevado y altas temperaturas reducen el número de espiguillas funcionales y la apertura estigmática, afectando directamente el cuajado del grano.

 

 

CONCLUSIONES

·      La fecha de siembra tiene un efecto directo en el rendimiento del cultivo de maíz en la Región de Azuero.

·      La variación de la precipitación a través de los años puede aumentar o reducir el impacto que tiene la fecha de siembra en el rendimiento de grano.

·      El estrés hídrico en la fase de floración y llenado del grano tuvo mayor impacto en el rendimiento del grano.

·      Las siembras a partir del mes de octubre siempre resultan en un bajo rendimiento debido a la reducida humedad del suelo a partir de la floración del cultivo.

·      Es necesario el análisis de otras variables ambientales (temperatura, humedad relativa, déficit de presión, radiación) para poder explicar con mayor profundidad el efecto de las fechas de siembra del cultivo de maíz en la Región de Azuero.

 

REFERENCIAS

Akinnuoye-Adelabu, D. B. & Modi, A. T. (2017). Panting dates and harvesting stages influence on maize yield under rainfed conditions. Journal of Agricultural Science, 9(9), 43-55. https://doi.org/10.5539/jas.v9n9p43

 

Aylor, D. E. (2004). Survival of maize (Zea mays) pollen exposed in the atmosphere. Agricultural and Forest Meteorology, 123, 125-133. https://doi.org/10.1016/j.agrformet.2003.12.007   

 

Aylor, D. E. (2003). Rate of dehydration of corn (Zea mays) pollen in the air. Journal of Experimental Botany, 54(391), 2307-2312. https://doi.org/10.1093/jxb/erg242

 

Beiragi, M. A., Khorasani, S. K., Shojaei, S. H., Dadresan, M., Mostafavi, K., & Golbashy, M. (2011). A study on effects of planting dates on growth and yield of 18 corn hybrids (Zea mays L.). Journal of Experimental Agriculture International, 1(3), 110-120. https://doi.org/10.9734/AJEA/2011/339

 

Bolaños, J., & Edmeades, G. O. (1993). La fenología del maíz. En: Síntesis de Resultados Experimentales del PRM, 1992, Vol. 4. CIMMYT-PRM, Guatemala. J. Bolaños, G. Saín, R. Urbina y H. Barreto (eds.). pag. 251-261.

https://repository.cimmyt.org/server/api/core/bitstreams/acb034c1-ff5b-4746-ad16-4a4c37fa9127/content

 

Claassen, M. M. & Shaw, R. H. (1970). Water deficit effects on corn. II. Grain components. Agron. J. 62(5), 652-655. https://doi.org/10.2134/agronj1970.00021962006200050032x

 

Cui, Y., Tang, H., Zhou, Y., Jin, J., & Jiang, S. (2024). Accumulative and adaptive responses of maize transpiration, biomass, and yield under continuous drought stress. Frontiers in Sustainable Food Systems, 8,1444246. https://doi.org/10.3389/fsufs.2024.1444246

 

Darby, H. & Lauer, J. (2002). Critical Stages in the Life of a Corn Plant. https://corn.aae.wisc.edu/Management/pdfs/CriticalStages.pdf

 

Denmead, O. T. & Shaw, R. H. (1960). The effects of soil moisture stress at different stages of growth on the development and yield of corn. Agron. J. 52, 272-274. https://doi.org/10.2134/agronj1960.00021962005200050010x

 

Djaman, K., Allen, S., Djaman, D. S., Koudahe, K., Irmak, S., Puppala, N., Darapuneni, M. K., & Angadi, S. V. (2022). Planting date and plant density effects on maize growth, yield and water use efficiency. Environmental Challenges, 6, 100417. https://doi.org/10.1016/j.envc.2021.100417

 

Organización de las Naciones Unidas para la Alimentación y la Agricultura. (1993). Land and water integration and river basin management. Roma, Italia. http://www.fao.org/3/v5400e/v5400e00.htm

 

Fonseca, A. E., & Westgate, M. E. (2005). Relationship between desiccation and viability of maize pollen. Field Crop Research, 94(2), 114-125. https://doi.org/10.1016/j.fcr.2004.12.001

 

Gordón-Mendoza, R. (2020), Variabilidad climática y su efecto sobre la producción de maíz. Instituto de Investigación Agropecuaria de Panamá, 48 p. https://proyectos.idiap.gob.pa/uploads/adjuntos/VARIABILIDAD_CLIMATICA_Y_SU_EFECTO_SOBRE_LA_PRODUCCI%C3%93N_DE_MA%C3%8DZ.pdf

 

Gordón-Mendoza, R. (2021). Manual Técnico: El maíz en Panamá: Características, requerimientos y recomendaciones para su producción en ambientes con alta variabilidad climática. Instituto de Innovación Agropecuaria de Panamá. 108 p.

https://proyectos.idiap.gob.pa/uploads/adjuntos/manual_tecnico_el_maiz_en_panama.pdf  

 

Hall, A. J., Vilella, F., Trappani, N., & Chimenti, C. (1982). The effects of water stress and genotype on the dynamics of pollen-shedding and silking in maize. Field Crops Research, 5, 349-363. https://doi.org/10.1016/0378-4290(82)90036-3

 

Herrero, M. P., & Johnson, R. R. (1980). High Temperature Stress and Pollen Viability of Maize. Crop Science, 20(6), 796-800. https://doi.org/10.2135/cropsci1980.0011183X002000060030x

 

Irwin, S., Good, D., & Newton, J. (2015). Early Planting and 2015 Corn Yield Prospects: How Much of an Increase? farmdoc daily, University of Illinois at Urbana-Champaign, Department of Agricultural and Consumer Economics, 5, May https://doi.org/10.22004/ag.econ.283126

 

Yzarra, W., Trebejo, I., y Noriega, V. (2010). Evaluación del efecto del clima en la productividad del maíz amarillo duro en la Costa Central del Perú. Lima, Perú. 90p. https://www.senamhi.gob.pe/load/file/01401SENA-10.pdf

 

Jing, L., Weng, B., Yan, D., Zhang, B., W., & Yan, S. (2023). The persistent impact of drought stress on the resilience of summer maize. Frontiers in Plant Science, 14, 1016993. https://doi.org/10.3389/fpls.2023.1016993

 

Kostiakov, A. N. (1932), On the dynamics of the coefficient of water-percolation in soils and on the necessity of studying it from a dynamic point of view for purposes of amelioration, Transactions Congress International Society for Soil Science, 6th, Moscow Part A, p.17-21

 

Kranz, W. L., Irmak, S., van Donk, S. J., Yonts, C. D., & Martin, D. L. (2008). Irrigation management for corn. Nebraska Extension NebGuide G1850. http://extensionpublications.unl.edu/assets/html/g1850/build/g1850.htm

 

Laffite, H. R. (2001). Estreses abióticos que afectan al maíz. En: El maíz en los trópicos: Mejoramiento y producción. R. Paliwal, G. Granados, H.R. Laffite y A. Violic (eds.). FAO. https://www.fao.org/4/x7650s/x7650s12.htm#P0_0

 

Lafitte, H. R. (1994). Identificación de problemas en la producción de maíz tropical. Guía de Campo. México D.F.; CIMMYT. 122 pp. https://books.google.com.pa/books?id=OUVBwJBXYecC&printsec=frontcover#v=onepage&q&f=false

 

Lauer, J. G., Carter, P. R., Wood, T. M., Diezel, G., Wiersma, D. W., Rand, R. E., & Mlynarek, M. J. (1999). Corn Hybrid Response to Planting Date in the Northern Corn Belt. Agron. J. 91(5), 834–839. https://doi.org/10.2134/agronj1999.915834x

 

McWilliams, D. A., Berglund, D. R., & Endres, G. J. (1999). Corn Grow and Management Quick Guide. North Dakota State University. A-1173. https://library.ndsu.edu/server/api/core/bitstreams/fa8d424d-fcb6-40bf-b05d-c3ecc4bcd7c7/content

 

Norwood, C. A. (2001). Planting Date, Hybrid Maturity, and Plant Population Effects on Soil Water Depletion, Water Use, and Yield of Dryland Corn. Agron. J. 93(5), 1034-1042. https://doi.org/10.2134/agronj2001.9351034x

 

NeSmith, D. S., & Ritchie, J. T. (1992). Short-and long-term responses of corn to pre-anthesis soil water deficit. Agron. J. 84, 107-113. https://doi.org/10.2134/agronj1992.00021962008400010021x

 

Rhoads, F. M., & Yonts, C. M. (2000). Irrigation Scheduling for Corn-Why and How. Iowa State University. University Extension. NCH-20. National Corn Handbook 6 p.  https://corn.agronomy.wisc.edu/Management/pdfs/NCH20.pdf

 

Ruane, A. C., DeWayne, C. L., Horton, R. M., Gordón, R., McCollum R., Brown, D., Killough, B., Goldberg, R., Greeley, A. P., & Rosenzweig, C. (2013). Climate change impact uncertainties for maize in Panama: Farm information, climate projections, and yield sensitivities. Agricultural and Forest Meteorology, 170,132-145. https://doi.org/10.1016/j.agrformet.2011.10.015

 

Sáez-Cigarruista, A., Morales-Guevara, D., Gordón-Mendoza, R., Jaén-Villarreal, J. & Ramos-Manzané, F. (2024). Sensibilidad del cultivo de maíz (Zea mays) a diferentes períodos de déficit hídrico controlado. Agronomía Mesoamericana, 35, 55660. https://doi.org/10.15517/am.2024.55660

 

Sah, R. P., Chakraborty, M., Prasad, K., Pandit, M., Tudu, V. K., Chakravarty, M. K., Narayan, S. C., Rana, M., & Moharana, D. (2020). Impact of water deficit stress in maize: phenology and yield components. Sci Rep, 10, 2944. https://doi.org/10.1038/s41598-020-59689-7

 

Sárvári, M., & Futó, Z. (2001). Correlation between sowing time of maize hybrids, yield and seed moisture content at harvest on chernozem soil. Acta Agraria Debreceniensis, 1, 32-41. https://doi.org/10.34101/actaagrar/1/3583

 

Schoper, J. B., Lambert, R. J., & Vasilas, B. L. (1986). Maize pollen viability and ear receptivity under water and high temperature stress. Crop Science 26(5), 1029-1033. https://doi.org/10.2135/cropsci1986.0011183X002600050038x

 

Shao, J., Wang, Q., Liu, P., Zhao, B., Han, W., Zhang, J., & Ren, B. (2024). The complex stress of waterlogging and high temperature accelerated maize leaf senescence and decreased photosynthetic performance at different growth stages. Journal of Agronomy and Crop Science, 210(2), e12689. https://doi.org/10.1111/jac.12689

 

Shaw, R. H., & Newman, J. E. (1985). Weather stress in the corn crop. Michigan State University. University Extension. NCH-18 National Corn Handbook 4 p. https://www.baycountymi.gov/Docs/CitizenCorps/WeatherStressInTheCornCrop.pdf

 

Steduto, P., Hsiao, T. C., Fereres, E., & Raes, D. (2012). Respuesta del rendimiento de los cultivos al agua. FAO. Roma, Italia, 510 p. https://www.siiba.conadesuca.gob.mx/siiaca/Consulta/verDoc.aspx?num=601

 

Traore, S. B., Carlson, R. E., Pilcher, C. D., & Rice, M. E. (2000). Bt and non-Bt maize growth and development as affected by temperature and drought stress. Agron. J. 92(5), 1027-1035. https://doi.org/10.2134/agronj2000.9251027x

 

Wu, W., Yue, W., Bi, J., Zhang, L., Xu, D., Peng, C., Chen, X., & Wang, S. (2024). Influence of climatic variables on maize grain yield and its components by adjusting the sowing date. Frontiers in Plant Science, 15, 1411009. https://doi.org/10.3389/fpls.2024.1411009

 



[1]Recepción: 27 de agosto de 2025. Aceptación: 29 de septiembre de 2025.

 

[2]Instituto de Innovación Agropecuaria de Panamá (IDIAP), Centro de Innovación Agropecuaria de Azuero “Ing. Germán De León” (CIA-Azuero), Los Santos, Panamá.  e-mail: gordon.roman@gmail.com;

ORCID iD: https://orcid.org/0000-0002-8433-2357

[3]IDIAP, CIA-Azuero, Panamá. PhD. Nutrición Mineral e-mail: jorgenunezcano@gmail.com;

ORCID iD: https://orcid.org/0009-0005-3417-4791

[4]IDIAP, CIA-Azuero. PhD. Ecofisiología Vegetal. e-mail: ansacig@gmail.com;

ORCID iD: https://orcid.org/0000-0002-4901-7263

[5]IDIAP, CIA-Azuero. M.Sc. Ambiente. e-mail: joenfra13@gmail.com; ORCID iD: https://orcid.org/0009-0000-0247-411X

[6]IDIAP, CIA-Azuero. Ingeniero Agrónomo. e-mail: franciscoramos2016@gmail.com;

ORCID iD: https://orcid.org/0009-0003-3203-3069